센트럴, 서울안과 녹내장 클리닉, 백내장-녹내장 병합 수술, 백내장과 녹내장이 동반된 눈의 경우 백내장과 녹내장 수술을 동시에 하는 병합 수술이 있습니다.이 수술은 수술 후 합병증의 수준은 단독 수술과 비슷하지만 장점은 더 많은 것으로 나타납니다.
오늘은 백내장-녹내장 병합 수술에 대해 알아보기 전에 백내장과 녹내장이 무엇인지 간단히 확인해 두겠습니다.백내장과 녹내장의 차이 V 백내장:수정체가 혼탁하여 시력이 저하되는 질환▶주된 원인은 노화현상으로, 그리고 나이가 들고 혼탁한 정도가 심해져 시력저하로 인하여 일상생활이 곤란한 경우 백내장이 생긴 수정체를 제거하고 인공수정체로 교체하는 수술로 치료가 가능합니다.
V, 녹내장: 시신경이 손상되어 시야가 좁아지는 안질환 ▶ 한 번 손상된 시신경은 회복이 어렵기 때문에 정기적인 안압이나 안저검사를 통하여 조기에 발견하고 치료하는 것이 매우 중요합니다.백내장과 녹내장을 병발된 눈의 치료방법 1. 백내장은 수술로, 녹내장은 약물로 조절하는 방법 ▶ 수술이 필요한 백내장이나 약물치료가 가능한 초기, 녹내장을 병발하신 경우 가능한 치료방법, 백내장 수술을 통하여 조기에 시력 회복이 가능, 수술 후의 약물로 안압을 조절할 수 있다는 장점이 있습니다.2. 녹내장을 첫 번째 수술로 백내장을 두 번째 수술로 만드는 방법▶ 수술이 필요한 녹내장과 당장은 일상생활에 불편함이 없는 초기단계의 백내장이 동반되어 있을 경우 장기간 안압 조절에 유리하다는 장점이 있습니다. 그러나 녹내장 수술 후 수정체 혼탁이 빠르게 진행되고 향후 백내장 수술 시 어려움이 수반되는, 시력에 대한 환자의 기대에 부응하지 못할 수 있으며 수술 후 여과누콘의 폐쇄 가능성과 2회의 수술을 하는데 시간적, 경제적, 정신적 부담이 수반될 수 있다는 단점이 있습니다.3. 백내장과 녹내장을 동시에 시행하는 병합 수술 방법 ▶ 수술이 필요한 백내장과 녹내장이 동반되는 경우 백내장과 녹내장을 동시에 수술함으로써 시간적, 경제적, 정신적 부담을 줄일 수 있고, 조기 시력의 회복으로 환자의 기대에 부응할 수 있으며, 수술 직후 일시적인 안압 상승도 적을 뿐만 아니라, 만약 발생하더라도 이에 대한 처치가 용이하다. 그러나 이 경우 단독수술에 비해 수술시간과 시력회복시간이 길고 고난도 수술이므로 반드시 숙련된 녹내장 전문의에게 받아야 합니다.백내장-녹내장 병합수술이란? 앞서 말씀드렸다시피 백내장-녹내장 병합수술은 녹내장 환자가 백내장 수술을 받게 되는 경우 함께 받을 수 있는 수술입니다.
이 수술의 경우 아래 그림과 같은 장단점이 있습니다.장점 단점 1. 백내장 수술만으로는 얻기 어려운 추가적 안압 하강 가능 1. 녹내장의 단독 수술에 비해 안압 하강 효과가 떨어지는 경우 있음 2. 수술 후 녹내장 약물 사용 감소 2. 백내장 단독 수술에 비해 시력 회복이 늦어져 3. 한 번의 수술로 안구 손상을 최소화 3. 수술 후 관리 과정이 복잡화될 가능성 백내장 수술과 병합 가능한 녹내장 수술의 종류

백내장 수술은 여러 종류의 녹내장 수술과 병합하여 할 수 있습니다.
다만, 어떤 수술을 병합할지는 수술 후 목표 안압과 수술의 안전도 등을 고려하여 결정됩니다.
일반적으로 큰 범위의 수술일수록 안압은 낮아지기 쉬워지지만 수술의 위험도 증가합니다.가장 안전한 병합 수술은?에스텐트 수술이에요.
이는 안정적으로 유지되는 녹내장 환자의 추가적인 안압 하강 효과 및 약물 사용을 줄일 목적으로 선택됩니다.
그 외에도 백내장 수술과 동시에 매우 낮은 안압이 필요한 녹내장 환자의 경우 섬유주 절제술, 방수 유출장치 삽입술과 젠스텐트 삽입술을 병합할 수 있습니다.

백내장과 아이스텐트 병합 수술이란?아이스텐트는 백내장 수술과 함께 간단한 스텐트를 삽입하여 녹내장 안압을 조절할 수 있는 수술법입니다.
아이스텐트는 안구 내 전방과 슈렘관을 연결하여 안구 내부에서 밖으로 방수가 원활히 배출될 수 있도록 하되 수술과 관련된 중장기 합병증이 거의 없어 여러 백내장-녹내장 병합 수술 방법 중 가장 안전하다고 판단되는 수술법이며 최근 세계적으로 가장 대중적인 녹내장 수술 방법으로 자리잡고 있습니다.장점 단점 1. 아이스텐트 삽입술은 백내장 수술과 병합할 경우 추가적 안압 하강 효과와 사용하는 녹내장 약물의 개수를 감소시킬 수 있다 1. 저항이 증가하고 있는 녹내장 환자에게는 안압 하강 효과가 있지만 쉬렘관 뒤쪽에 문제가 있는 경우에는 효과가 적거나 없는 경우가 있다 2. 내린 안압은 녹내장 진행의 위험을 즉시 경감한다. 수술 후

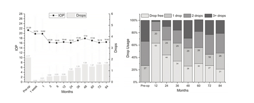
백내장-아이스텐트 병합 수술 후 안압은 최대 경과 관찰 기간인 7년간 평균 21.3mmHg에서 16.4mmHg로 조정되었으며 수술 전 2.17개의 녹내장 약제 개수가 1.59개로 감소하였습니다.
또한 수술 전 모든 환자가 1개 이상의 녹내장 약물을 사용하였으나, 백내장-아이스텐트 병합 수술 후에는 12개월 후에 63%, 24개월 후에는 44%에서 녹내장 약물을 사용하지 않아도 안압이 조절되었습니다.녹내장TV는 센트럴서울안과 녹내장 클리닉의 최재완 원장님과 김미진 원장님 두 분이 직접 녹내장 환자에게 유용한 근거를 중심으로 정보를 제공하는 유튜브 채널입니다.
오늘의 내용에 대해 더 자세히 알고 싶으시다면 아래 링크를 클릭하여 참조해 주십시오.
https://bit.ly/3oPUiD1 ★ 녹내장 증상에서 최신 연구까지 녹내장 TV로 알려드립니다. ★ – 최재완 원장의 녹내장 수술 그것이 알고 싶다’ Part3 백내장과 녹내장 한꺼번에 수술 할 수 없다? #최재완원장 #Glucoma #녹내장TV #녹내장bit.ly

